臺灣警備總司令部51年警審特字第0059號判決書

  • 裁判書正題名: 臺灣警備總司令部51年警審特字第0059號判決書
  • 產製單位: 臺灣警備總司令部
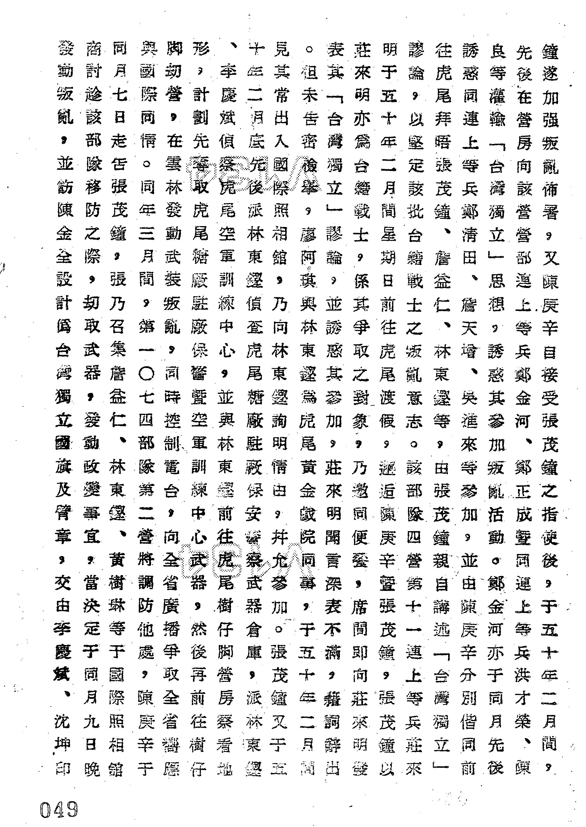
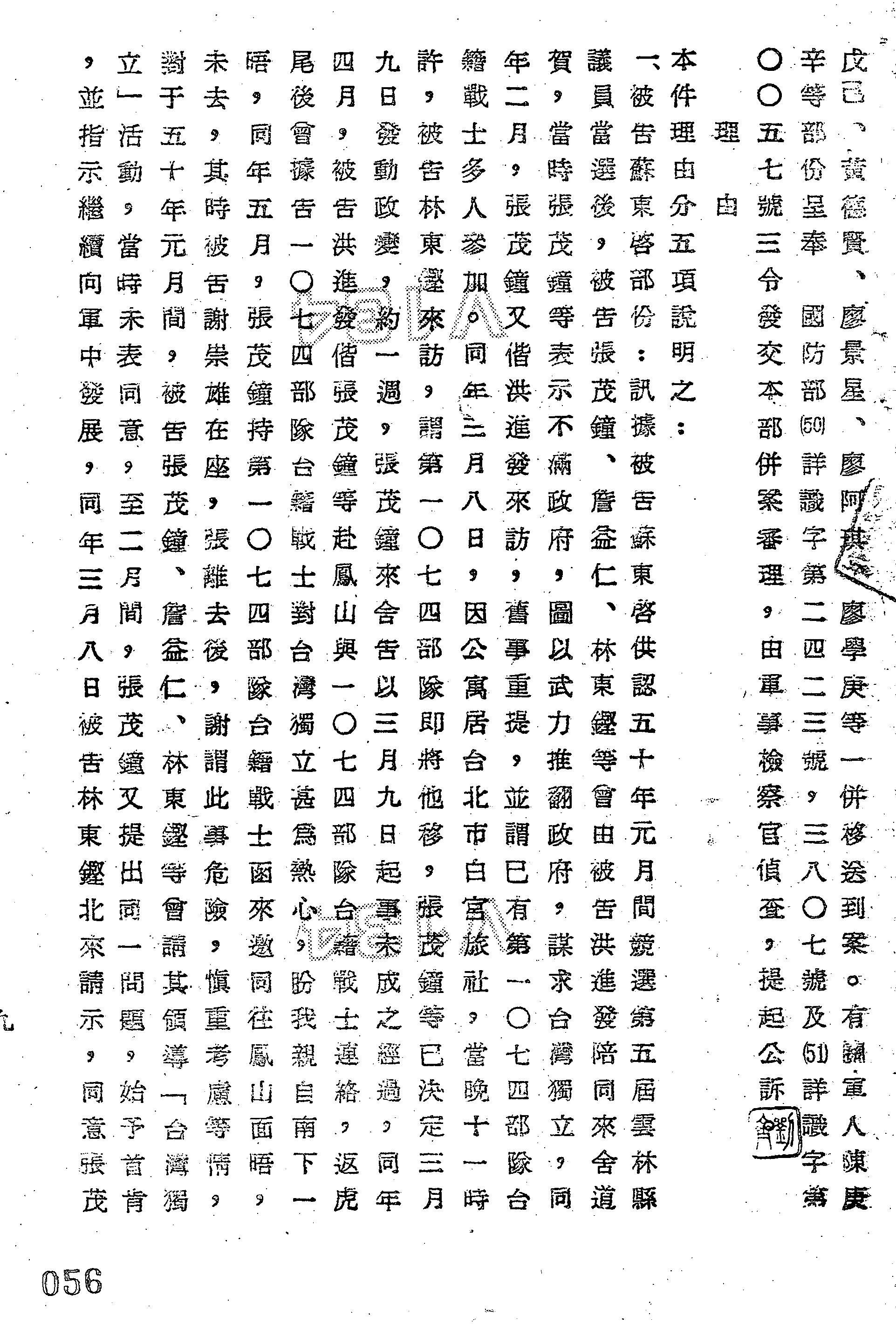
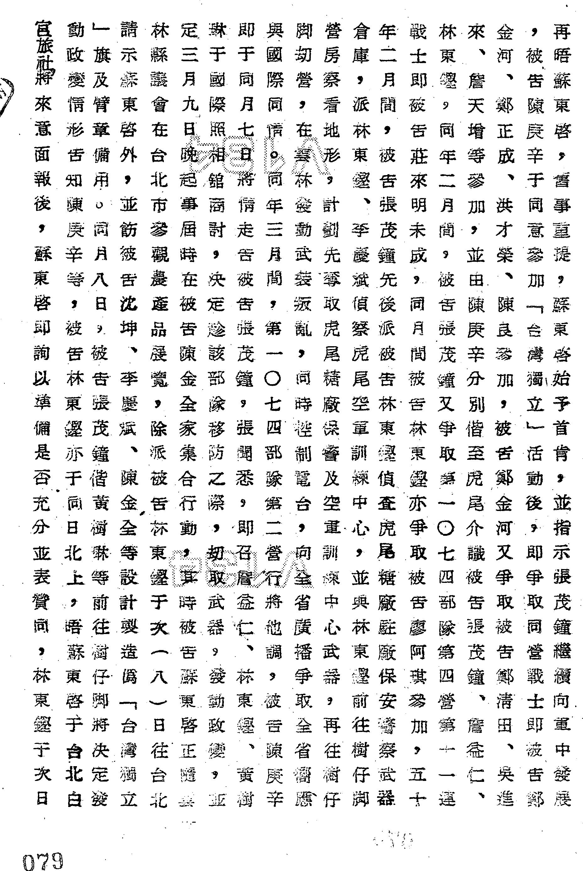
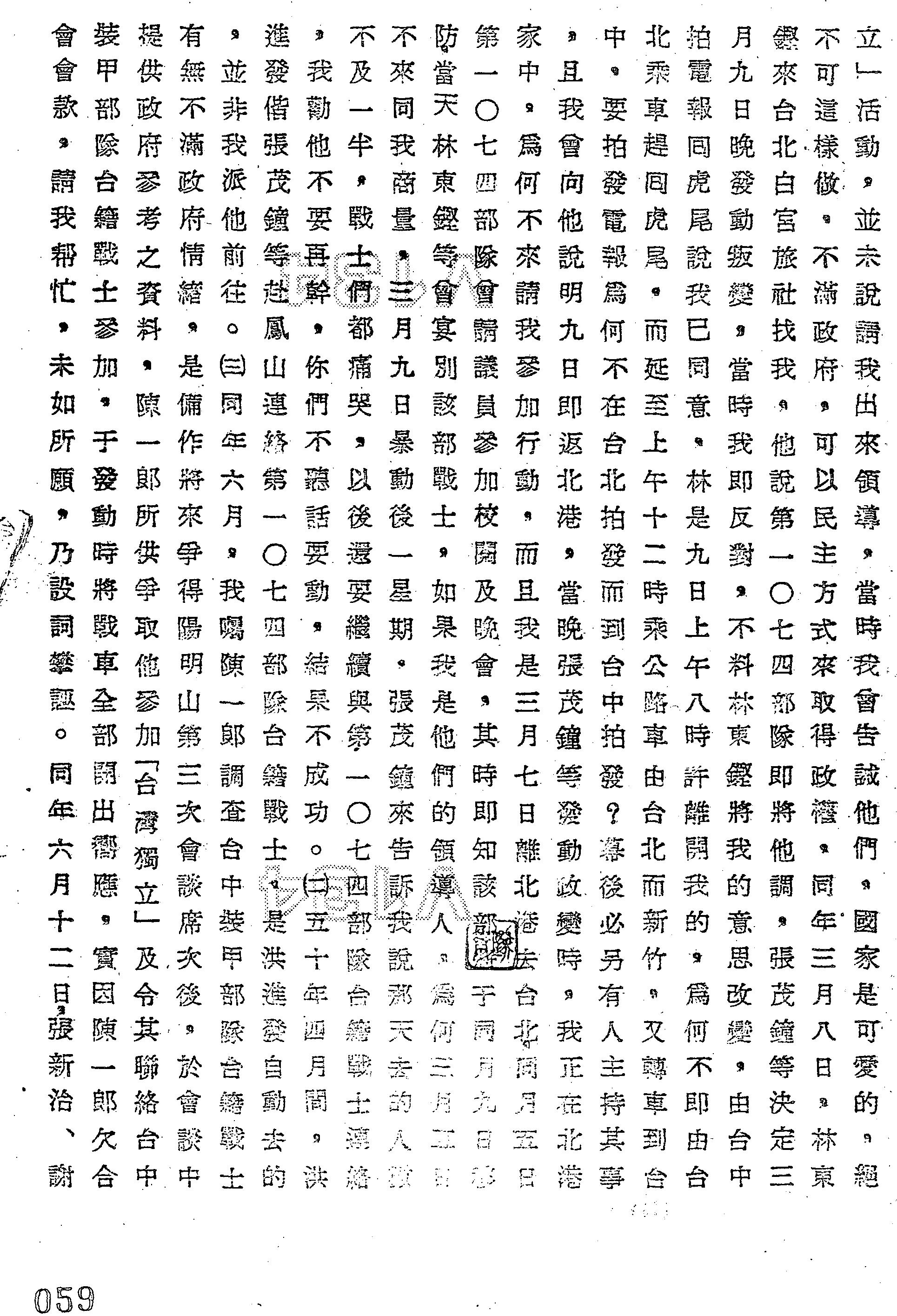
  • 相關當事人: 蘇東啟、張茂鐘、詹益仁、林東鏗、黃樹琳、鄭金河、李慶斌、陳金全、張世欽、陳火城、王戊己、蘇映、張邦彥、陳庚辛、沈坤、廖景星、黃德賢、陳世鑑、鄭正成、洪才榮、陳良、蔡光武、鄭清田、詹天增、吳進來、許錦亭、謝登科、洪進發、江柱、王錦春、廖阿琪、李志元、林光庸、黃錫琅、林江波、莊來明、林振坤、顏錦福、蘇洪月嬌、廖炎林、廖學庚、廖本仁、劉平西、謝崇雄、林利德、蘇竹源、洪文勢
  • 產製日期: 510517
  • 內容描述:
    • 審理機關:臺灣警備總司令部
    • 裁判書字號:(51)警審特字第0059號
    • 裁判書主文/要旨:蘇東啟、張茂鐘、陳庚辛「意圖以非法之方法顛覆政府而著手實行」,各處死刑,各褫奪公權終身。詹益仁、鄭金河「意圖以非法之方法顛覆政府而著手實行」,各處無期徒刑,褫奪公權終身。林東鏗、黃樹琳「意圖以非法之方法顛覆政府而著手實行」,各處有期徒刑15年,各褫奪公權10年。蘇東啟、張茂鐘、詹益仁、林東鏗、黃樹琳、鄭金河、陳庚辛全部財產除酌留家屬必需生活費外沒收。李慶斌、陳金全、沈坤、張世欽、鄭清田、詹天增、洪才榮、林光庸、蔡光武「預備以非法之方法顛覆政府」,各處有期徒刑12年,各褫奪公權10年。洪進發、蘇映、張邦彥、李志元「預備以非法之方法顛覆政府」,各處有期徒刑8年,各褫奪公權5年。陳火城、王戊己、廖阿琪、廖景星、江柱、王錦春、黃德賢、黃錫琅、陳世鑑、陳良、吳進來、謝登科「陰謀以非法之方法顛覆政府」,各處有期徒刑5年,褫奪公權3年。廖炎林、廖學庚、廖本仁、蘇竹源、洪文勢、許錦亭、謝崇雄、林江波、莊來明、林振坤、劉平西、林利德、顏錦福、蘇洪月嬌「明知為匪諜而不告密檢舉」,各處有期徒刑1年,廖炎林、廖學庚、蘇洪月嬌各緩刑2年。
    • 法條:軍事審判法第173條前段;懲治叛亂條例第10條後段、第2條第1項、第2條第3項、第8條第1項、第12條;戡亂時期檢肅匪諜條例第9條;刑法第37條第1項、第37條第2項、第59條、第74條