國防部41年防隔字第0213號判決書

  • 裁判書正題名: 國防部41年防隔字第0213號判決書
  • 產製單位: 國防部
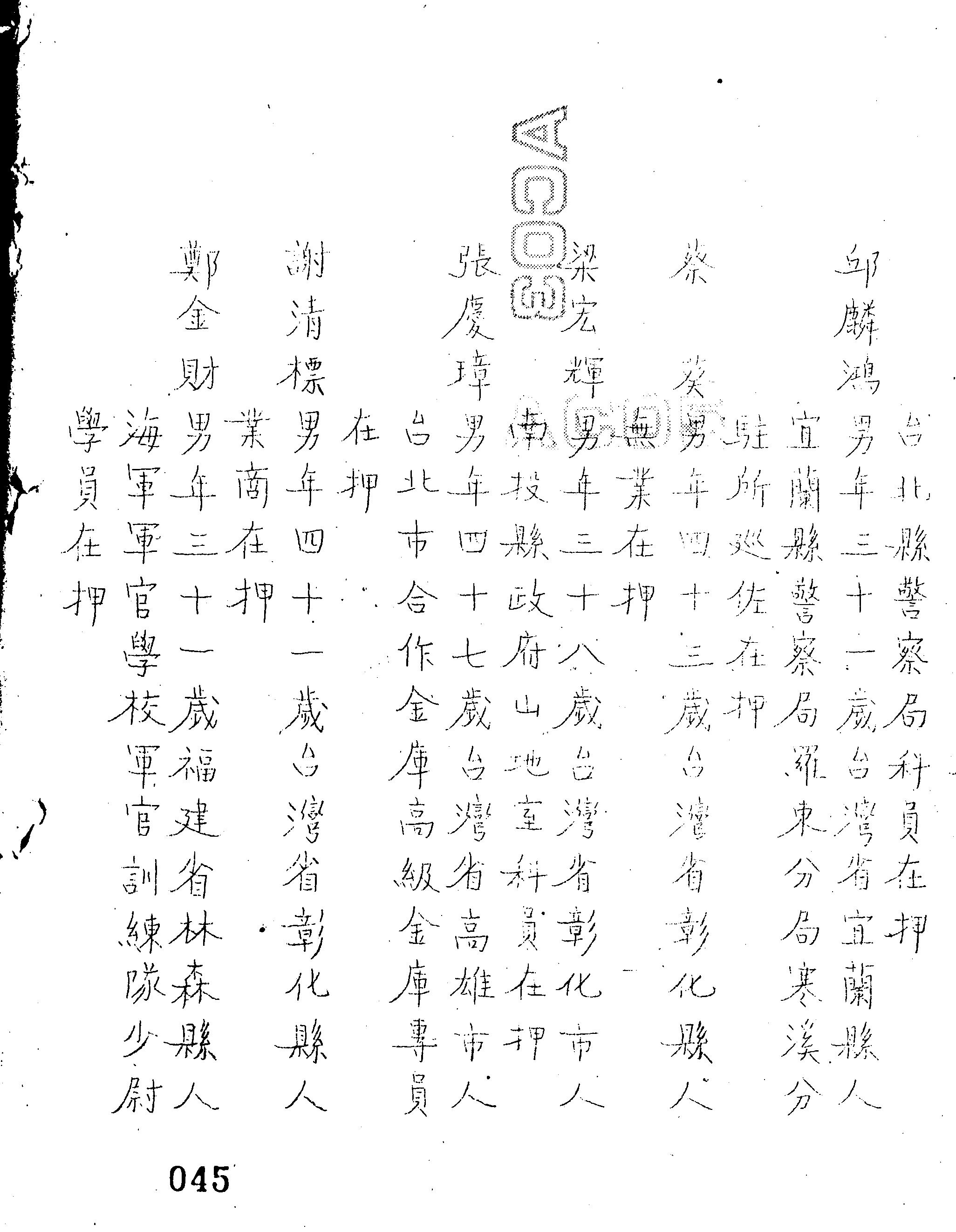
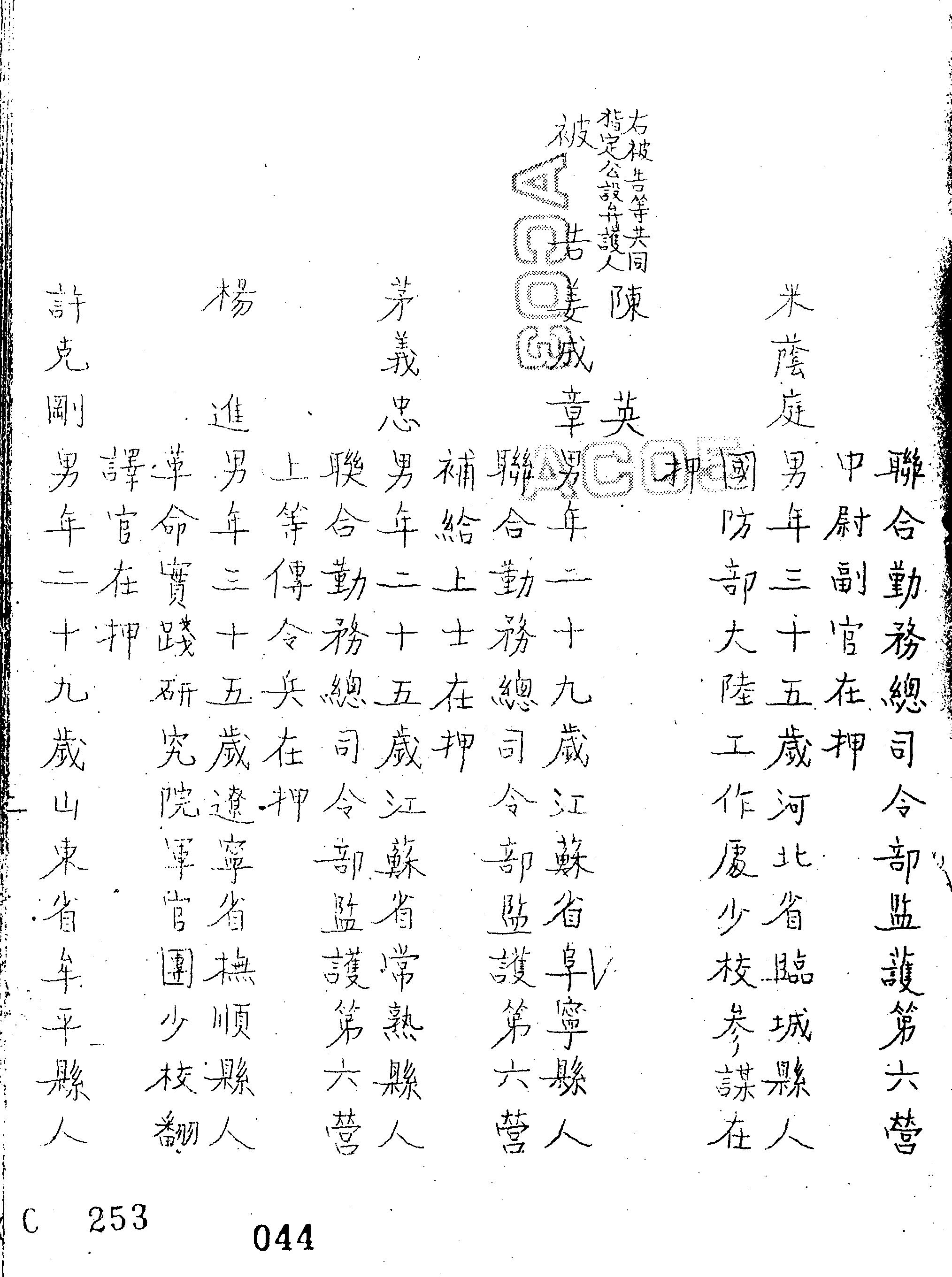
  • 相關當事人: 葉敏新、石滄庚、趙立權、蔡汝鑫、蕭鴻巽、孟優年、盧文英、吳良民、李秀山、石滄柏、陳蒼柳、楊鳳梧、米蔭庭、姜成章、茅義忠、楊進、許克剛、邱麟鴻、蔡葵、梁宏輝、張慶璋、謝清標、鄭金財、陳有進、徐致富、石振江、王宜春、張連仲、劉曉風
  • 產製日期: 420118
  • 內容描述:
    • 審理機關:國防部
    • 裁判書字號:(41)防隔字第0213號
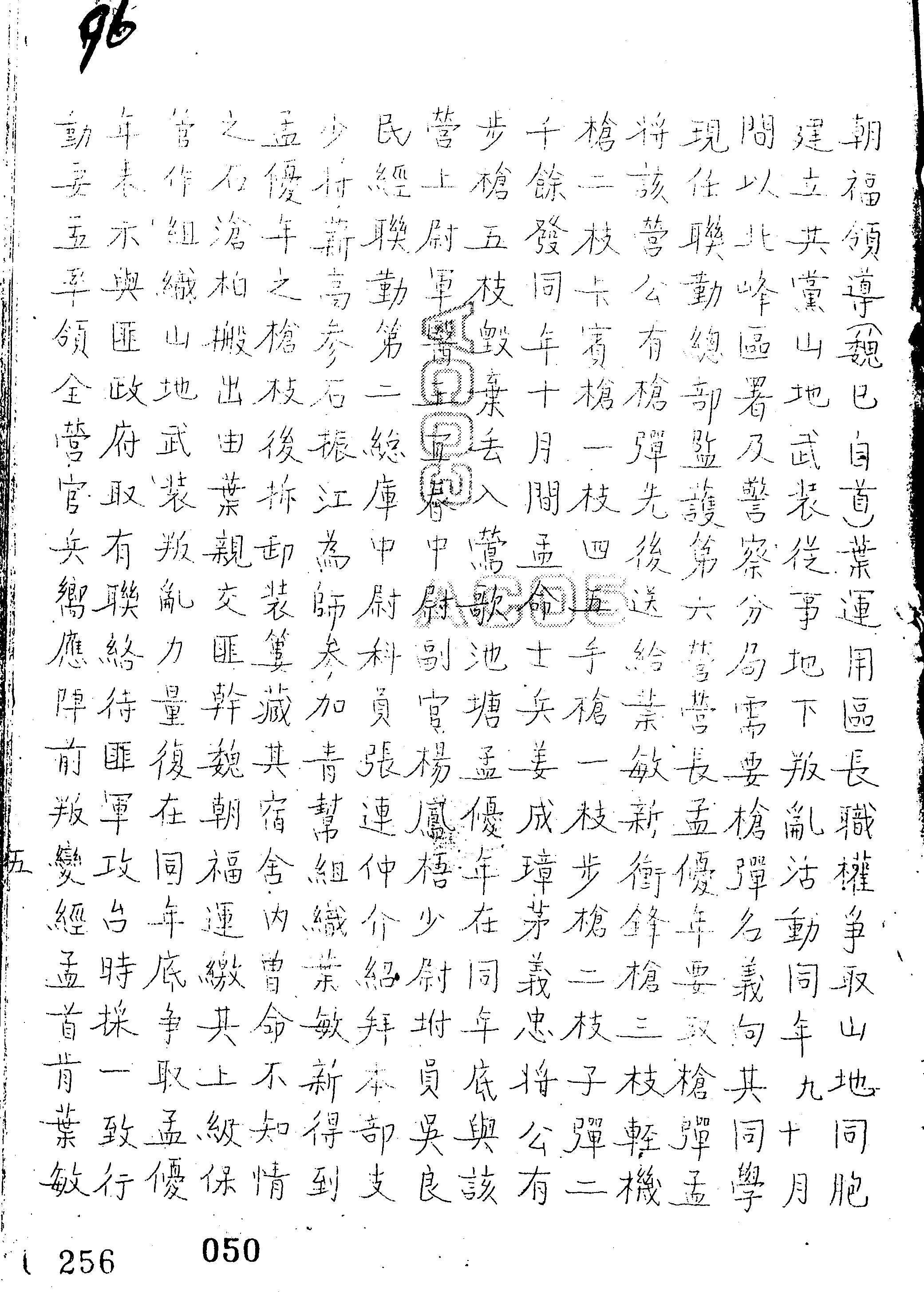
    • 裁判書主文/要旨:葉敏新「意圖以非法之方法顛覆政府而著手實行」處死刑,褫奪公權終身。米蔭庭「將軍事上之秘密消息洩露叛徒」處死刑,褫奪公權終身;「明知為匪諜而不告密檢舉」處有期徒刑7年;執行死刑,褫奪公權終身。孟優年「侵占軍用品」處死刑,褫奪公權終身;「陰謀意圖以非法之方法顛覆政府而著手實行」處有期徒刑14年,褫奪公權10年;「教唆毀棄兵器」處有期徒刑1年6月;「違背職守而秘密結社」處有期徒刑1年6月;執行死刑,褫奪公權終身。蔡汝鑫「意圖以非法之方法顛覆政府而著手實行」處死刑,褫奪公權終身;「明知為匪諜而不告密檢舉」處有期徒刑3年;執行死刑,褫奪公權終身。石滄庚「教唆藏匿叛徒」處有期徒刑13年,褫奪公權10年;「參加叛亂之組織」處有期徒刑10年,褫奪公權5年;執行有期徒刑15年,褫奪公權10年。石滄柏「藏匿叛徒」處有期徒刑13年,褫奪公權10年。李秀山、陳蒼柳「參加叛亂之組織」各處有期徒刑12年,各褫奪公權5年。趙立權「參加叛亂之組織」處有期徒刑10年,褫奪公權5年。許克剛、邱麟鴻、蔡葵、梁宏輝、張慶璋、謝清標「明知為匪諜而不告密檢舉」各處有期徒刑5年。吳良民「違背職守而秘密結社」處有期徒刑1年6月,緩刑2年;貪污部份無罪。楊鳳梧「違背職守而秘密結社」處有期徒刑1年6月,緩刑2年;其餘部份無罪。石振江「違背職守而秘密結社」處有期徒刑3年。王宜春、張連仲「違背職守而秘密結社」各處有期徒刑1年6月,緩刑2年。姜成章、茅義忠「共同毀棄兵器」各處有期徒刑1年6月,緩刑2年。盧文英、蕭鴻巽、楊進、鄭金財、陳有進、徐致富、劉曉風均無罪。葉敏新、米蔭庭、孟優年、蔡汝鑫、石滄庚、石滄柏之全部財產除各酌留其家屬必需生活費外均沒收。孟優年侵佔之軍用衝鋒槍3枝、輕機槍2枝、卡賓槍1枝、加拿大四五手槍1枝、步槍2枝、子彈2000發應予追繳,無法追繳時,追繳其價額。
    • 法條:戰時陸海空軍審判簡易規程第2條第1項前段、第8條;刑事訴訟法第291條前段、第292條、第293條第1項;懲治叛亂條例第2條第1項、第2條第3項、第4條第1項第2款、第4條第1項第7款、第5條、第8條第1項、第10條;戡亂時期檢肅匪諜條例第9條;懲治貪污條例第2條第3款、第8條、第9條第1項、第15條;陸海空軍刑法第15條、第105條、第120條;刑法第11條、第28條、第29條第1項、第29條第2項、第30條第1項、第30條第2項、第37條第1項、第37條第2項、第51條第2款、第51條第5款、第51條第8款、第74條第1款