臺灣省保安司令部39年安澄字第2786號判決書

下載

數位物件打包下載(僅限可下載使用物件)

  • 裁判書正題名: 臺灣省保安司令部39年安澄字第2786號判決書
  • 產製單位: 臺灣省保安司令部
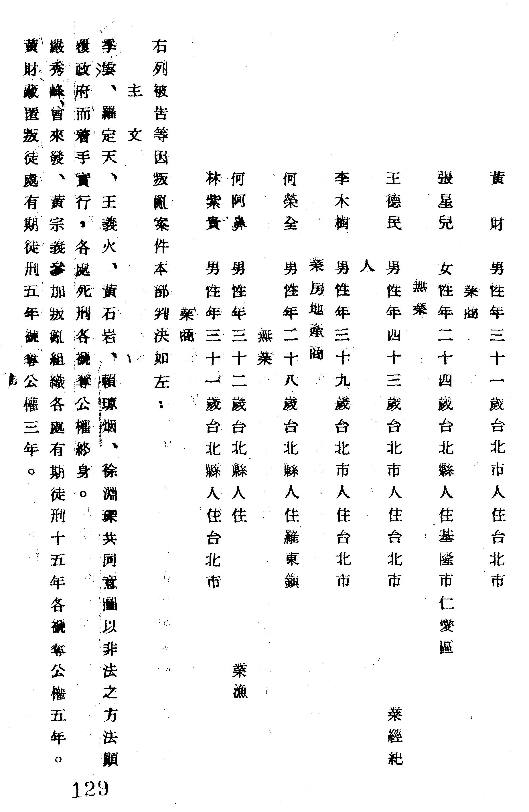
  • 相關當事人: 季澐、羅定天、王義火、黃石岩、賴琼烟、徐淵琛、嚴秀峰、黃宗義、曾來發、黃財、張星兒、王德民、李木樹、何榮全、陳阿鼻、林紫貴
  • 產製日期: 391002
  • 內容描述:
    • 審理機關:臺灣省保安司令部
    • 裁判書字號:(39)安澄字第2786號
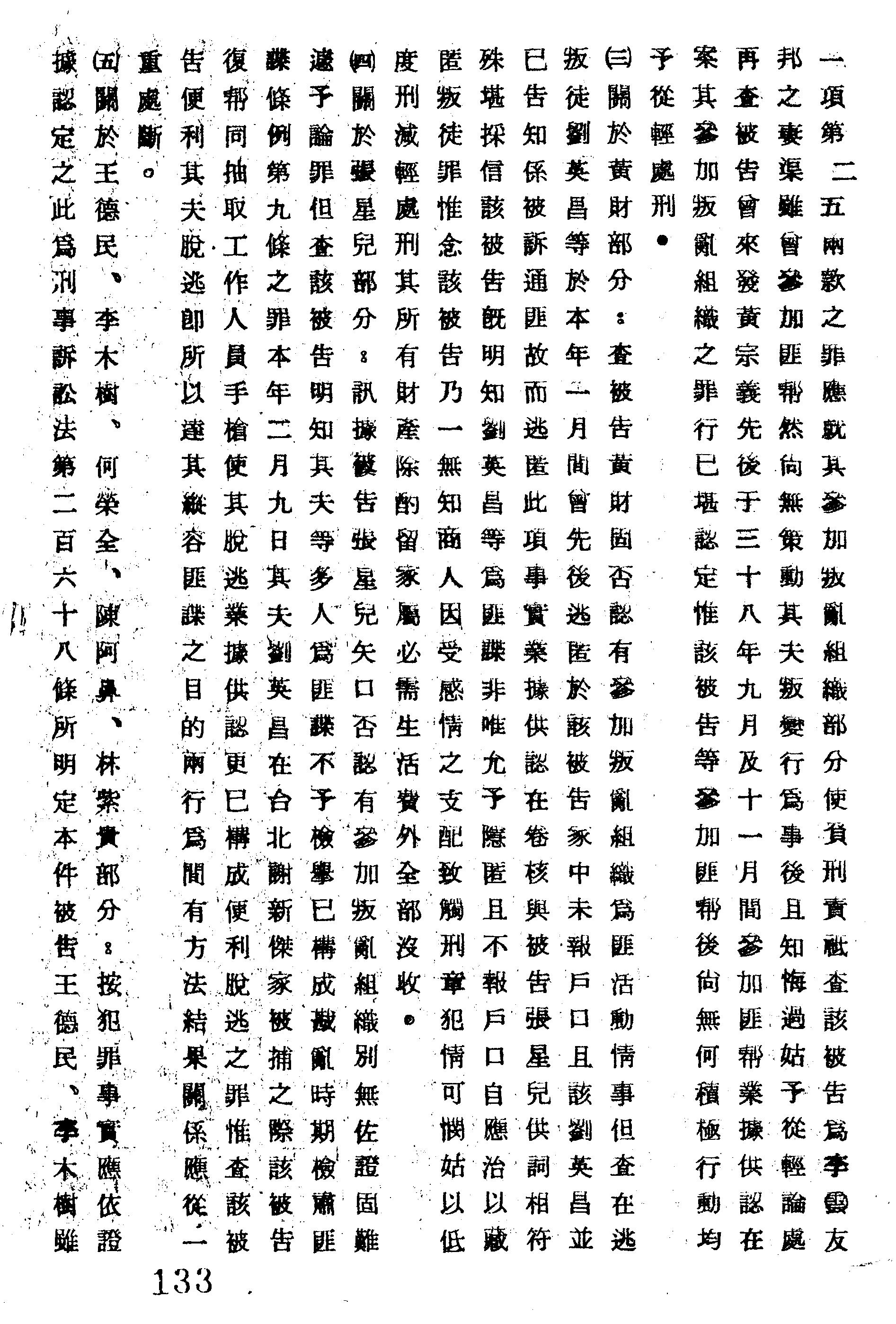
    • 裁判書主文/要旨:季澐、羅定天、王義火、黃石岩、賴琼烟、徐淵琛「共同意圖以非法之方法顛覆政府而著手實行」各處死刑,各褫奪公權終身。嚴秀峰、曾來發、黃宗義「參加叛亂組織」各處有期徒刑15年,各褫奪公權5年。黃財「藏匿叛徒」處有期徒刑5年,褫奪公權3年。張星兒「明知匪諜而縱容之」處有期徒刑3年,褫奪公權2年。王德民、李木樹、何榮全、陳阿鼻、林紫貴均無罪。季澐、羅定天、王義火、黃石岩、賴琼烟、徐淵琛、黃財之財產除酌留其家屬必需生活費外均全部沒收。
    • 法條:修正懲治叛亂條例第1條、第10條後段、第2條第1項、第4條第1項第7款、第5條、第8條第1項、第12條;戡亂時期檢肅匪諜條例第9條;刑法第28條、第100條第1項、第55條、第37條第1項、第37條第2項;刑事訴訟法第291條前段、第293條第1項