臺灣省保安司令部40年安潔字第4481號判決書

下載

數位物件打包下載(僅限可下載使用物件)

  • 裁判書正題名: 臺灣省保安司令部40年安潔字第4481號判決書
  • 產製單位: 臺灣省保安司令部
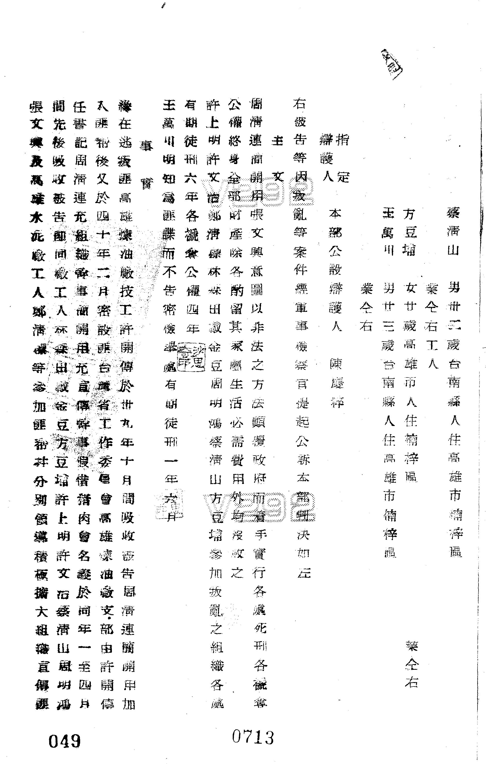
  • 相關當事人: 周清連、簡開用、張文興、許上明、許文治、鄭清標、林森田、戴金豆、周明鴻、蔡清山、方豆埔、王萬川
  • 產製日期: 401210
  • 內容描述:
    • 審理機關:臺灣省保安司令部
    • 裁判書字號:(40)安潔字第4481號
    • 裁判書主文/要旨:周清連、簡開用、張文興「意圖以非法之方法顛覆政府而著手實行」各處死刑,各褫奪公權終身,全部財產除各酌留其家屬生活必需費用外均沒收之。許上明、許文治、鄭清標、林森田、戴金豆、周明鴻、蔡清山、方豆埔「參加叛亂之組織」各處有期徒刑6年,各褫奪公權4年。王萬川「明知為匪諜而不告密檢舉」處有期徒刑1年6月。
    • 法條:刑事訴訟法第291條前段、第292條;懲治叛亂條例第2條第1項、第5條、第8條第1項、第10條後段、第12條;戡亂時期檢肅匪諜條例第9條、第11條;刑法第100條第1項、第37條第1項、第37條第2項、第59條