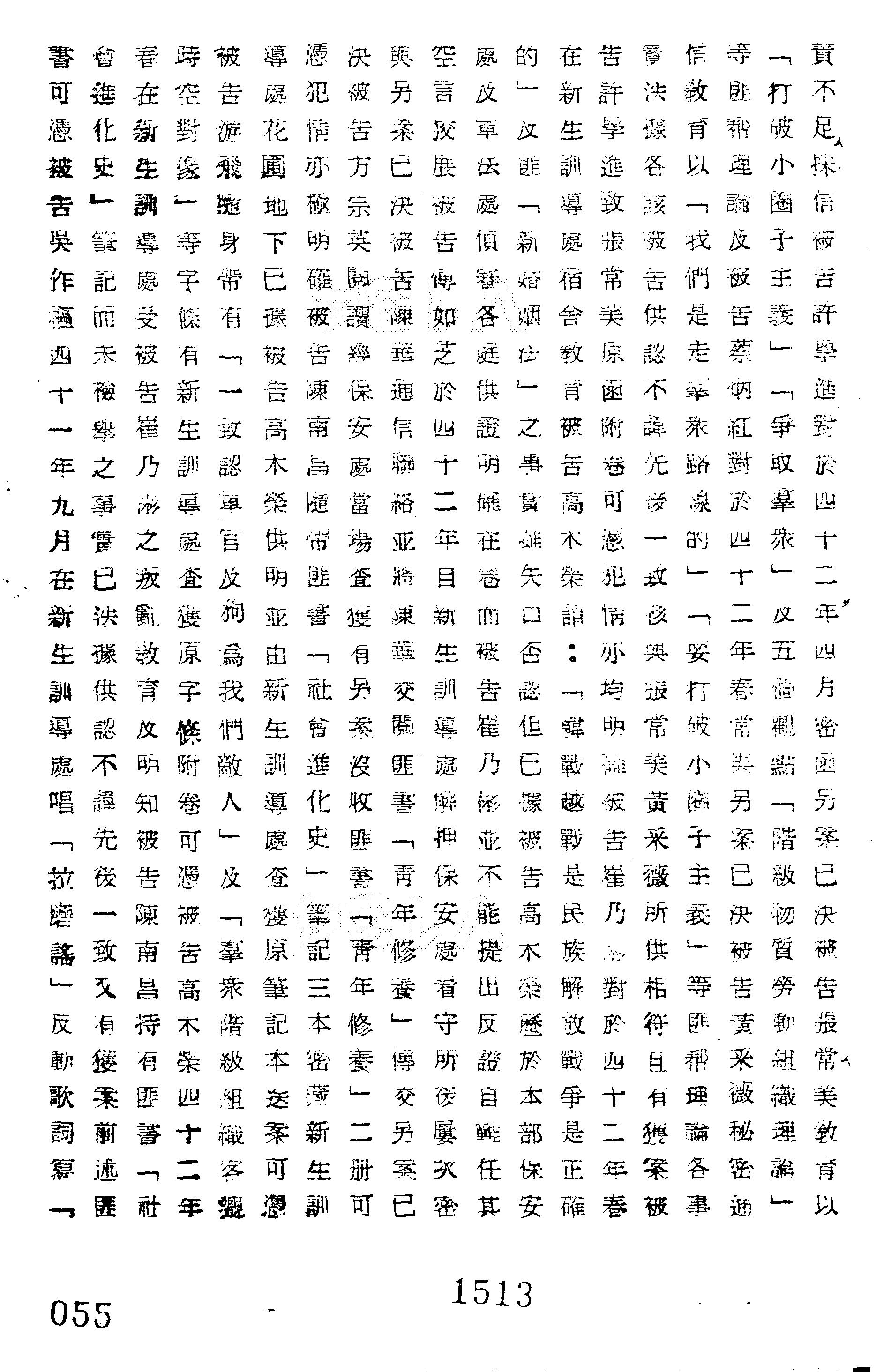
臺灣省保安司令部44年審復字第0024號判決書

下載

數位物件打包下載(僅限可下載使用物件)

  • 裁判書正題名: 臺灣省保安司令部44年審復字第0024號判決書
  • 產製單位: 臺灣省保安司令部
  • 相關當事人: 吳聲達、張樹旺、楊俊隆、宋盛淼、許學進、崔乃彬、蔡炳紅、傅如芝、游飛、陳南昌、高木榮、吳作樞
  • 產製日期: 440710
  • 內容描述:
    • 審理機關:臺灣省保安司令部
    • 裁判書字號:(44)審復字第0024號
    • 裁判書主文/要旨:吳聲達、張樹旺、楊俊隆、宋盛淼、許學進、崔乃彬、蔡炳紅、傅如芝、游飛、陳南昌、高木榮、吳作樞「意圖以非法之方法顛覆政府而著手實行」各處死刑,各褫奪公權終身,全部財產除各酌留其家屬必需之生活費外均沒收,「社會進化史」筆記3冊沒收。
    • 法條:刑事訴訟法第291條前段;懲治叛亂條例第10條後段、第2條第1項、第8條第1項、第12條;刑法第37條第1項、第38條第1項第1款