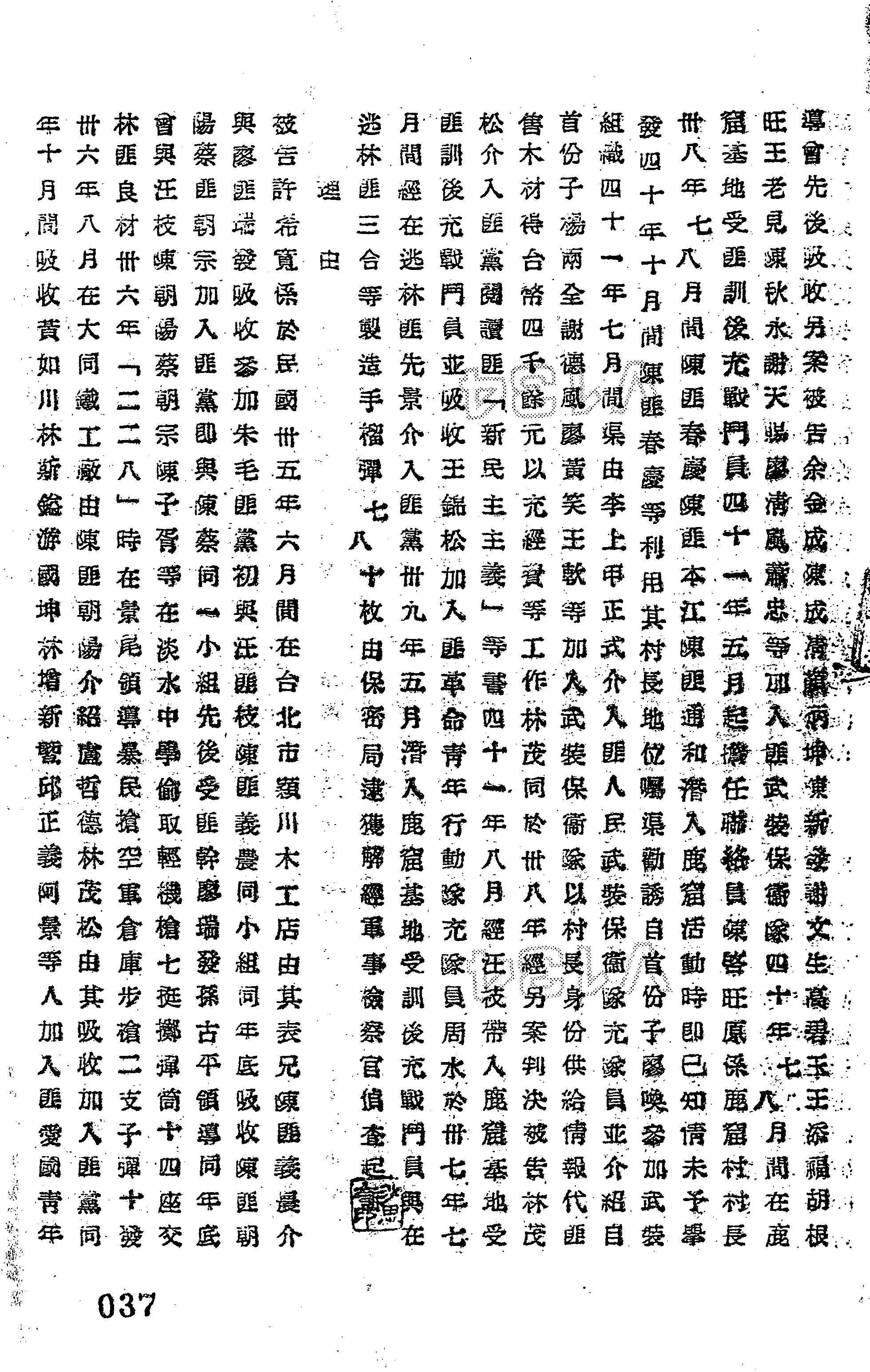
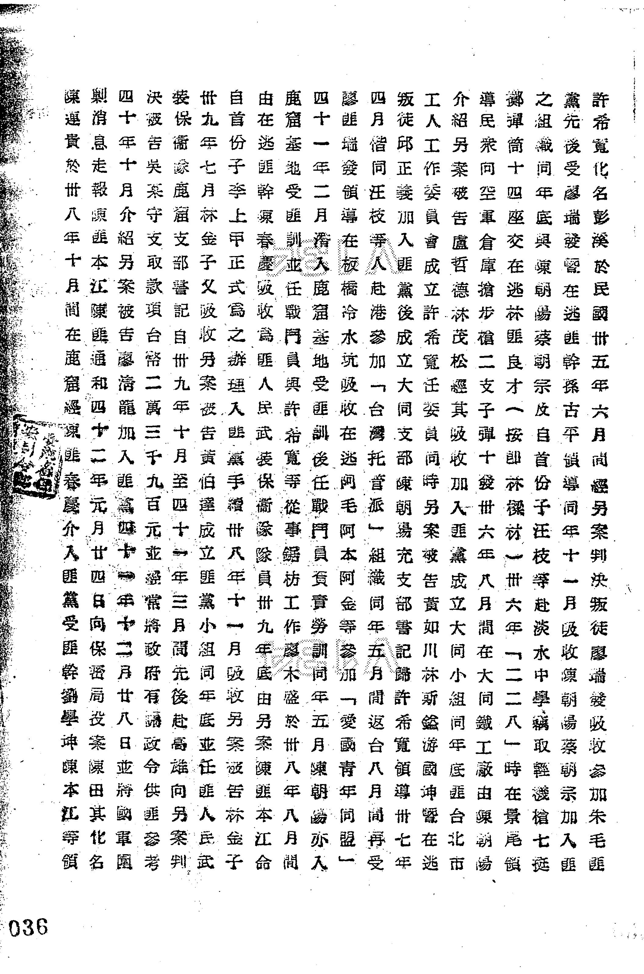
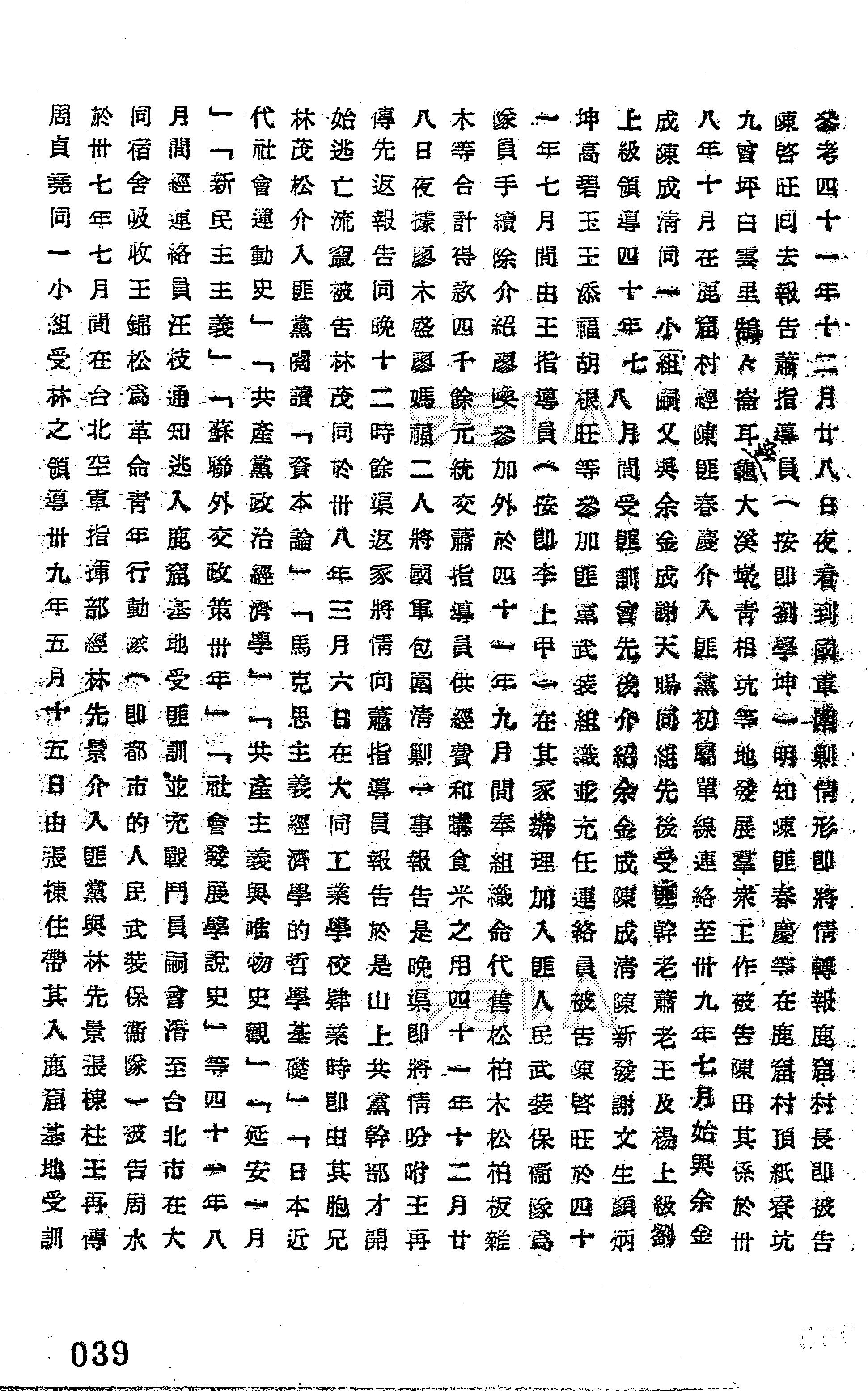
臺灣省保安司令部43年審三字第0135號判決書

下載

數位物件打包下載(僅限可下載使用物件)

  • 裁判書正題名: 臺灣省保安司令部43年審三字第0135號判決書
  • 產製單位: 臺灣省保安司令部
  • 相關當事人: 許希寬、陳朝陽、廖木盛、陳田其、陳啟旺、林茂同、周水
  • 產製日期: 440221
  • 內容描述:
    • 審理機關:臺灣省保安司令部
    • 裁判書字號:(43)審三字第0135號
    • 裁判書主文/要旨:許希寬、陳朝陽、廖木盛、陳田其、陳啟旺、林茂同、周水「意圖以非法之方法顛覆政府而著手實行」各處死刑,各褫奪公權終身,全部財產除各酌留其家屬必需生活費外均沒收。
    • 法條:刑事訴訟法第291條前段;懲治叛亂條例第10條後段、第2條第1項、第8條第1項、第12條;刑法第37條第1項