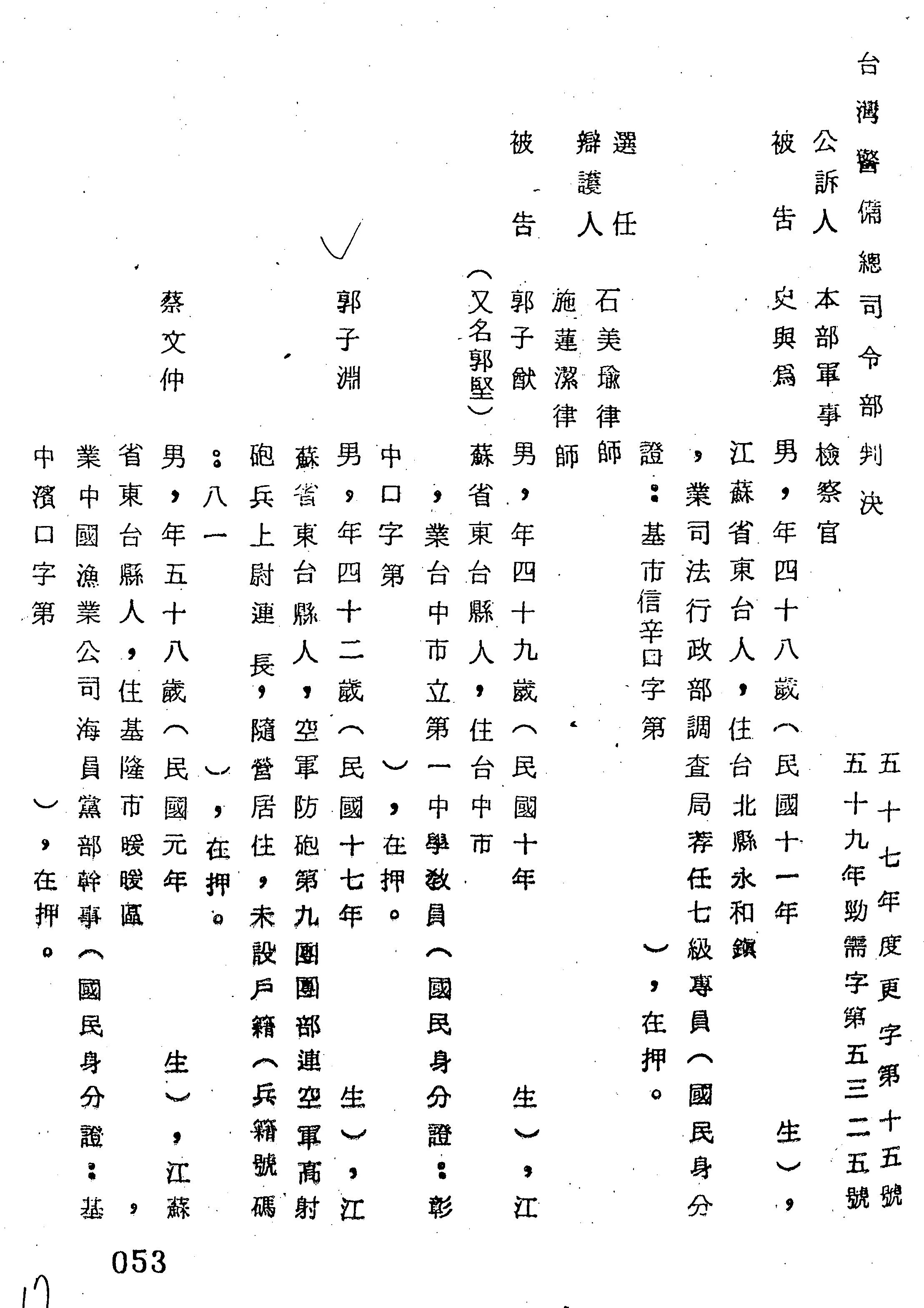
臺灣警備總司令部57年更字第0015號/59年勁需字第5325號判決書

  • 裁判書正題名: 臺灣警備總司令部57年更字第0015號/59年勁需字第5325號判決書
  • 產製單位: 臺灣警備總司令部
  • 相關當事人: 史與為、郭子猷、郭子淵、蔡文仲、蔡竹安、張芫芬、徐紫亭
  • 產製日期: 590512
  • 內容描述:
    • 審理機關:臺灣警備總司令部
    • 裁判書字號:(57)更字第0015號/(59)勁需字第5325號
    • 裁判書主文/要旨:史與為「意圖以非法之方法顛覆政府而著手實行」,處死刑,褫奪公權終身,全部財產除酌留其家屬必需之生活費外,沒收之;「公務員對於職務上之行為收受賄絡」,處有期徒刑7年,褫奪公權5年,所收之賄款新台幣5000元及美金100元,沒收。如全部或一部不能沒收時,追徵其價額。「意圖為自己不法之所有,以詐術使人將本人之物交付」,處有期徒刑5年;「意圖為自己不法之所有,以恐嚇使人將本人之物交付」,處有期徒刑5年;執行死刑,褫奪公權終身,所收之賄款新台幣5000元及美金100元,沒收。如全部或一部不能沒收時,追徵其價額,全部財產除酌留家屬必需生活費外,沒收。郭子猷、郭子淵、蔡文仲、蔡竹安、張芫芬、徐紫亭「意圖以非法之方法顛覆政府而著手實行」,各處死刑,褫奪公權終身,全部財產除酌留家屬必需生活費外,沒收。
    • 法條:軍事審判法第173條前段、第174條;懲治叛亂條例第10條後段、第2條第1項、第8條第1項、第12條;刑法第121條第1項、第121條第2項、第339條第1項、第346條第1項、第134條、第37條第1項、第37條第2項、第51條第1項第2款、第51條第1項第2款、第51條第1項第8款、第51條第1項第9款