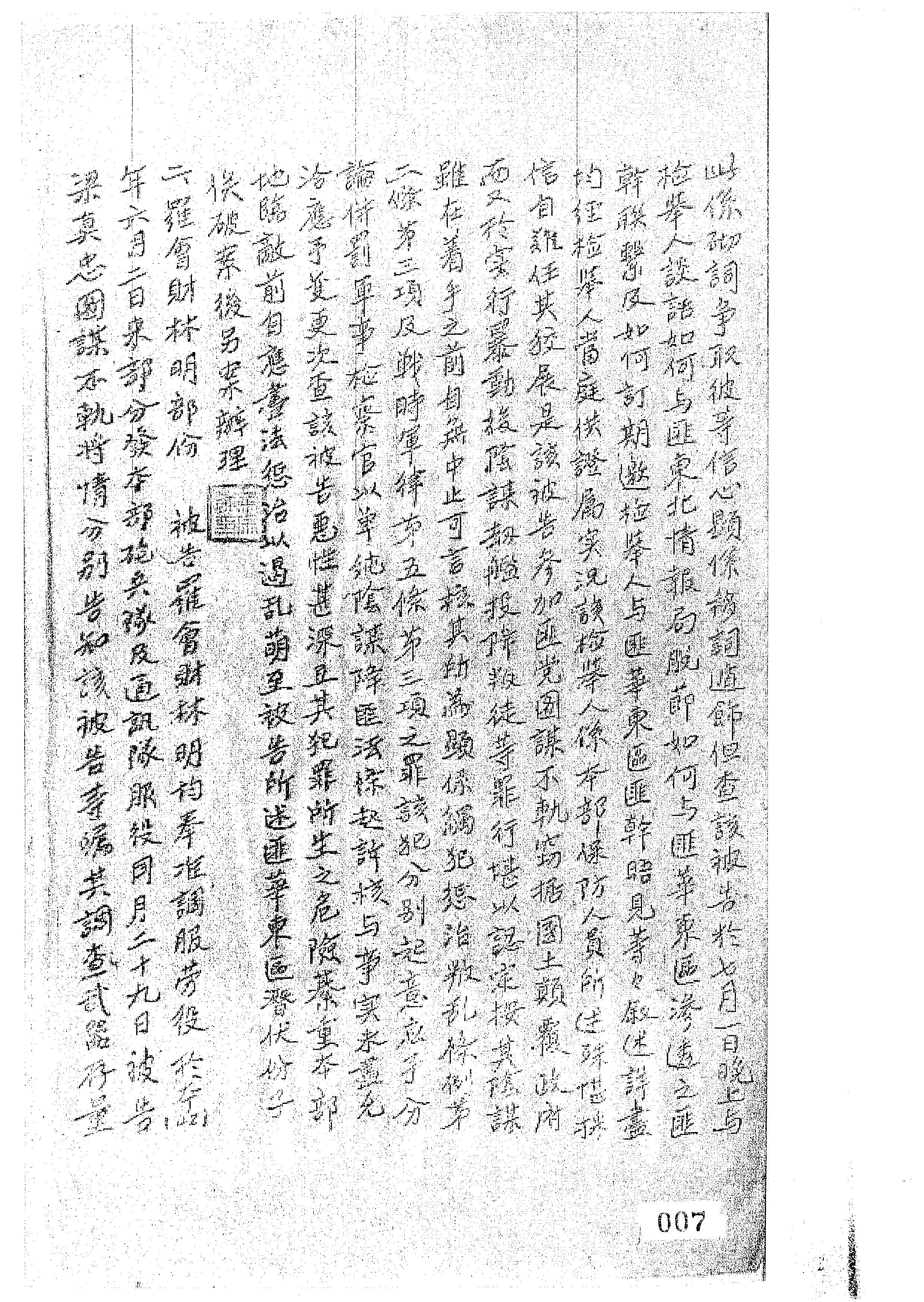
福建省反共救國軍關北地區司令部42年軍判字第0112號判決書

下載

數位物件打包下載(僅限可下載使用物件)

  • 裁判書正題名: 福建省反共救國軍關北地區司令部42年軍判字第0112號判決書
  • 產製單位: 福建省反共救國軍關北地區司令部
  • 相關當事人: 梁真忠、羅會財、林明
  • 產製日期: 420908
  • 內容描述:
    • 審理機關:福建省反共救國軍關北地區司令部
    • 裁判書字號:(42)軍判字第0112號
    • 裁判書主文/要旨:梁真忠「陰謀以非法之方法竊據國土顛覆政府」處有期徒刑10年,褫奪公權10年;「陰謀投降叛徒」處死刑,褫奪公權終身;執行死刑,褫奪公權終身。羅會財「知匪不報」處有期徒刑1年6月,褫奪公權1年。林明「知匪不報」減處有期徒刑8月。
    • 法條:戰時陸海空軍審判簡易規程第2條第1項後段、第8條;刑事訴訟法第246條、第291條前段、第292條;懲治叛亂條例第2條第3項;戰時軍律第5條第3項;戡亂時期檢肅匪諜條例第9條前段;刑法第37條第1項、第37條第2項、第51條第2款、第51條第8款、第59條、第73條

相關人物