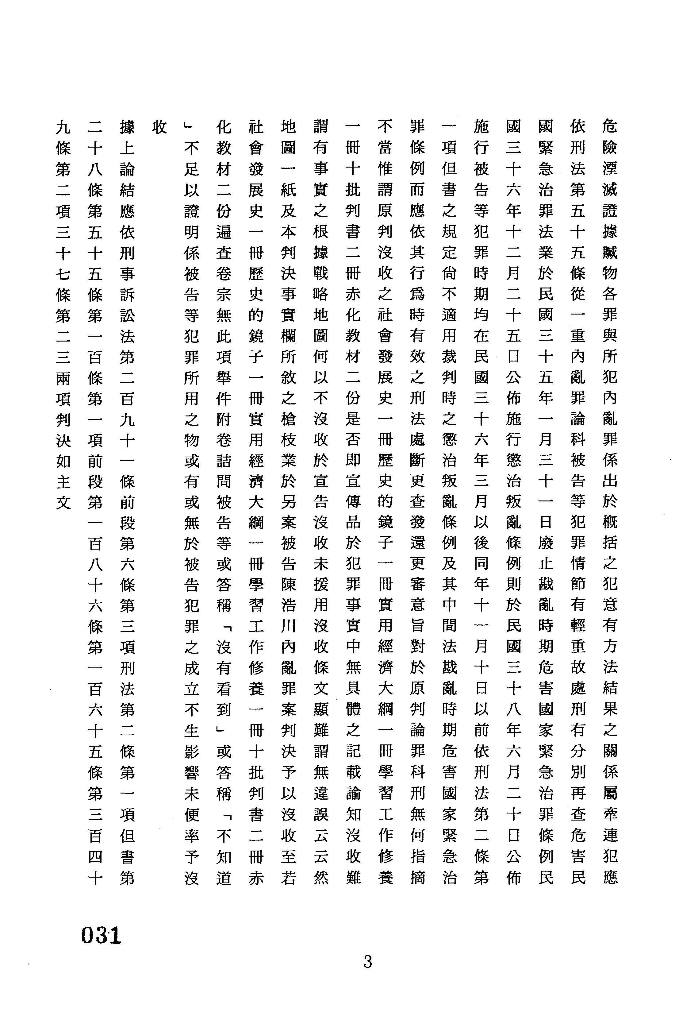
臺灣高等法院41年訴字第0003號刑事判決書

下載

數位物件打包下載(僅限可下載使用物件)

  • 裁判書正題名: 臺灣高等法院41年訴字第0003號刑事判決書
  • 產製單位: 臺灣高等法院
  • 相關當事人: 蔡鐸、丁錦昌、賴金盛、林金泉、姜銀華
  • 產製日期: 410916
  • 內容描述:
    • 審理機關:臺灣高等法院
    • 裁判書字號:(41)訴字第0003號
    • 裁判書主文/要旨:蔡鐸、丁錦昌「共同意圖顛覆政府而著手實行」各處有期徒刑8年,褫奪公權5年。賴金盛、林金泉、姜銀華「共同意圖顛覆政府而著手實行」各處有期徒刑7年6月,褫奪公權5年。
    • 法條:刑事訴訟法第291條前段、第6條第3項;刑法第2條第1項但書、第28條、第55條、第100條第1項前段、第186條、第165條、第349條第2項、第37條第2項、第37條第3項