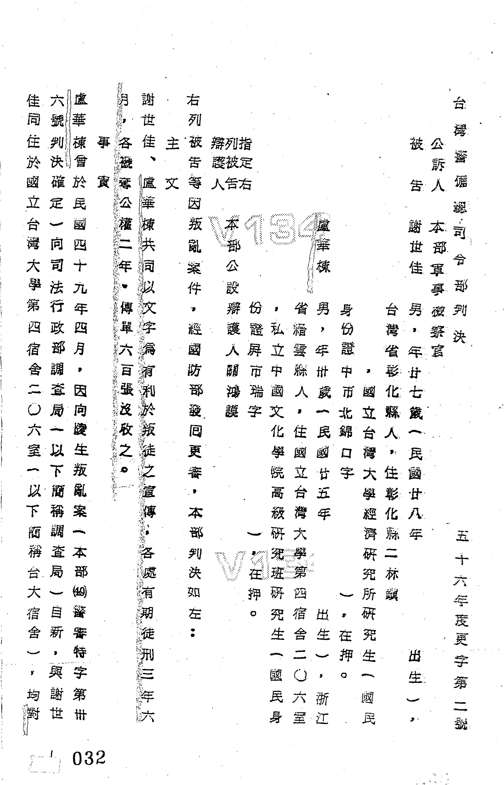
臺灣警備總司令部56年更字第0002號判決書

下載

數位物件打包下載(僅限可下載使用物件)

  • 裁判書正題名: 臺灣警備總司令部56年更字第0002號判決書
  • 產製單位: 臺灣警備總司令部
  • 相關當事人: 謝世佳、盧華棟
  • 產製日期: 551221
  • 內容描述:
    • 審理機關:臺灣警備總司令部
    • 裁判書字號:(56)更字第0002號
    • 裁判書主文/要旨:謝世佳、盧華棟「共同以文字為有利於叛徒之宣傳」,各處有期徒刑3年6月,各褫奪公權2年,傳單600張沒收之。
    • 法條:軍事審判法第173條前段;懲治叛亂條例第10條後段、第7條、第12條;刑法第210條、第216條、第28條、第55條、第19條第2項、第59條、第37條第2項、第38條第1項第1款

相關人物