臺灣高等法院77年訴更(二)字第0007號刑事判決書

下載

數位物件打包下載(僅限可下載使用物件)

  • 裁判書正題名: 臺灣高等法院77年訴更(二)字第0007號刑事判決書
  • 產製單位: 臺灣高等法院
  • 相關當事人: 劉廣聲
  • 產製日期: 771219
  • 內容描述:
    • 審理機關:臺灣高等法院
    • 裁判書字號:(77)訴更(二)字第0007號
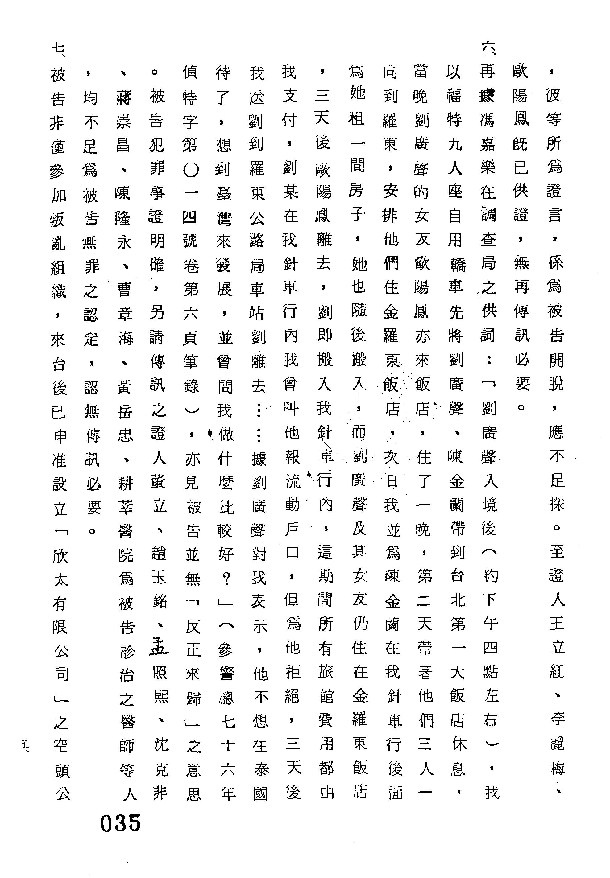
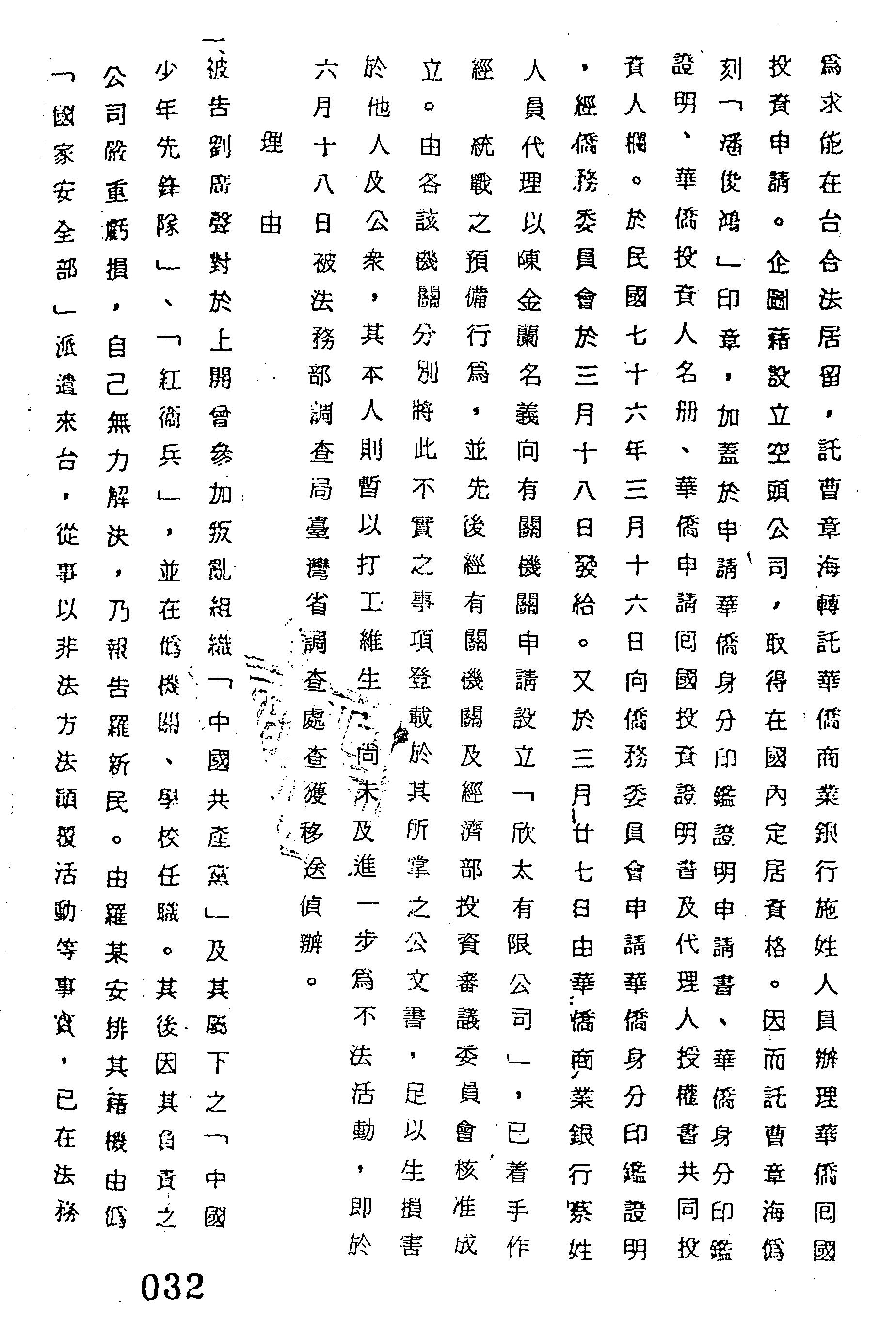
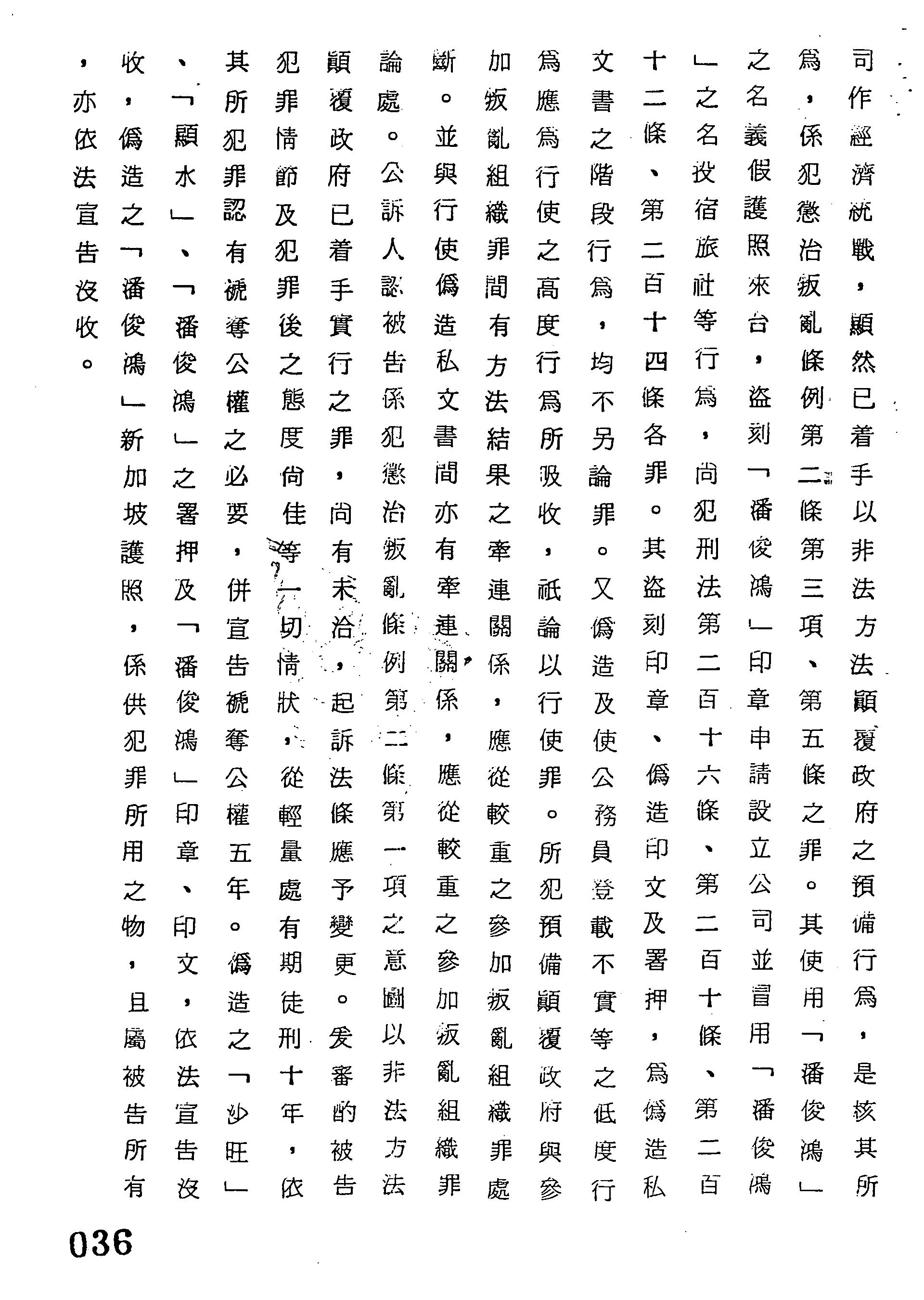
    • 裁判書主文/要旨:劉廣聲「參加叛亂之組織」,處有期徒刑10年,褫奪公權5年,減為有期徒刑6年8月,褫奪公權3年4月。偽造之「沙旺.顯水」、「潘俊鴻」之署押、「潘俊鴻」印章、印文及偽造之「潘俊鴻」新加坡護照均沒收。
    • 法條:刑事訴訟法第299條第1項前段、第300條;懲治叛亂條例第2條第3項、第5條;刑法第11條前段、第216條、第210條、第212條、第214條、第55條、第37條第2項、第219條、第38條第1項第2款;戡亂時期罰金罰鍰提高標準條例第1條;中華民國七十七年罪犯減刑條例第4條第1項第1款、第2條第1項第1款第3目、第6條、第13條

相關人物