國防部情報局65年貫嚴判字第0003號判決書

下載

數位物件打包下載(僅限可下載使用物件)

  • 裁判書正題名: 國防部情報局65年貫嚴判字第0003號判決書
  • 產製單位: 國防部情報局
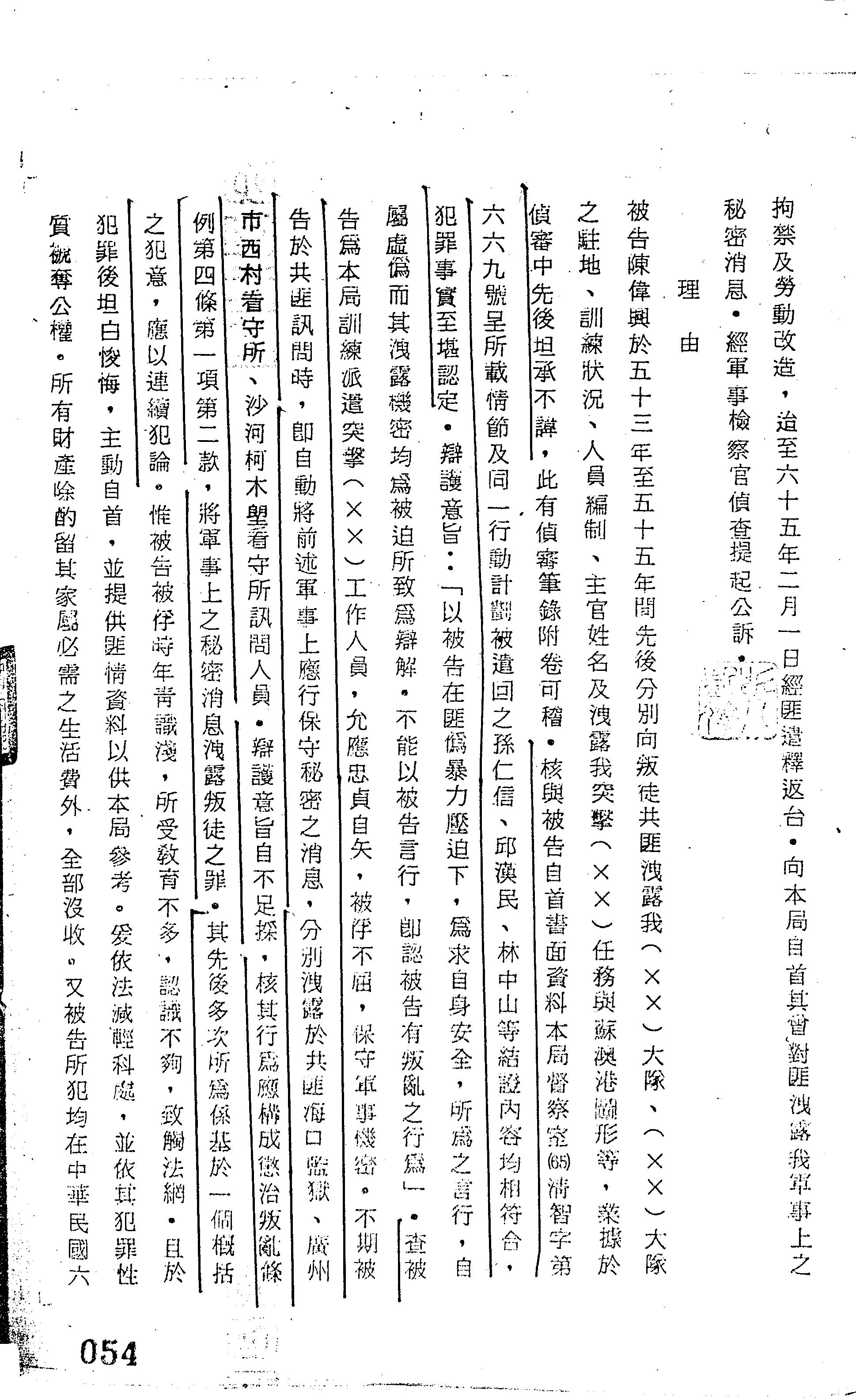
  • 相關當事人: 陳偉興
  • 產製日期: 651126
  • 內容描述:
    • 審理機關:國防部情報局
    • 裁判書字號:(65)貫嚴判字第0003號
    • 裁判書主文/要旨:陳偉興「連續將軍事上之秘密消息洩露叛徒」減處有期徒刑7年6月,褫奪公權10年,遞減處有期徒刑5年,褫奪公權6年,全部財產除酌留其家屬必需生活費外沒收之。
    • 法條:軍事審判法第173條前段;懲治叛亂條例第4條第1項第2款、第8條第1項、第9條第1項第1款前段、第12條;刑法第56條、第37條第2項;中華民國六十四年罪犯減刑條例第2條第1項第1款甲類之(三)、第4條第1項第1款、第12條

相關人物