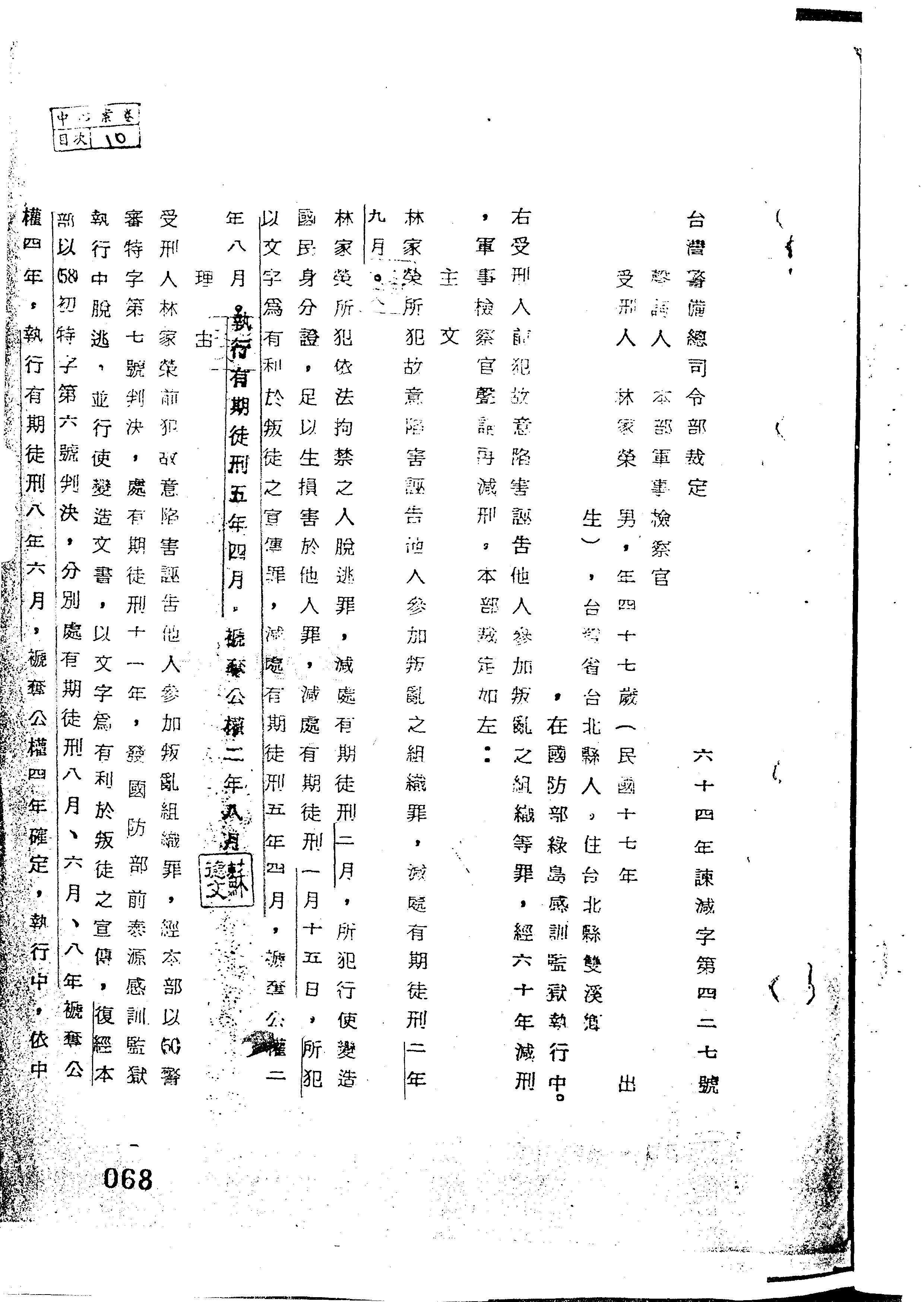
臺灣警備總司令部64年諫減字第0427號裁定書

下載

數位物件打包下載(僅限可下載使用物件)

  • 裁判書正題名: 臺灣警備總司令部64年諫減字第0427號裁定書
  • 產製單位: 臺灣警備總司令部
  • 相關當事人: 林家榮
  • 產製日期: 640714
  • 內容描述:
    • 審理機關:臺灣警備總司令部
    • 裁判書字號:(64)諫減字第0427號
    • 裁判書主文/要旨:林家榮所犯「故意陷害誣陷他人參加叛亂之組織罪」,減處有期徒刑2年9月。林家榮所犯「依法拘禁之人脫逃罪」,減處有期徒刑2月;所犯「行使變造國民身分證,足以生損害於他人罪」,減處有期徒刑1月15日;所犯「以文字為有利於叛徒之宣傳罪」,減處有期徒刑5年4月,褫奪公權2年8月;執行有期徒刑5年4月,褫奪公權2年8月。
    • 法條:中華民國六十四年罪犯減刑條例第4條第1項第1款、第4條第2項、第5條第1項、第12條;刑法第51條第5款

相關人物