跳到主要內容區塊
國家人權記憶庫
:::
回首頁
網站導覽
聯絡我們
English
登出
字體:
小
中
大
主題探索
人物
事件
空間
文物
史料
口述紀錄
背景知識
歷史概述
威權體制
法律制度
專有名詞
組織團體
關於我們
網站簡介
最新消息
使用說明
常見問題
資料授權
意見信箱
展開進階搜尋
熱門關鍵字:
陳孟和
李舜治
鹿窟事件
安康接待室
新生訓導處
蛋殼畫
送物單
輸入錯誤!
請選擇
AND
OR
NOT
輸入錯誤!
新增
搜尋
國家人權記憶庫
熱門關鍵字:
陳孟和
李舜治
鹿窟事件
安康接待室
新生訓導處
蛋殼畫
送物單
主題探索
人物
事件
空間
文物
史料
口述紀錄
背景知識
歷史概述
威權體制
法律制度
專有名詞
組織團體
關於我們
網站簡介
最新消息
使用說明
常見問題
資料授權
意見信箱
授權聲明
PDM
本件資料因年代久遠已逾著作財產權保護期間,或依法令特別規定不受著作權利保護,而進入公眾領域,得自由利用而不受著作權相關權利之限制,但利用時仍應尊重著作人格權。
:::
主題探索
史料
裁判書類
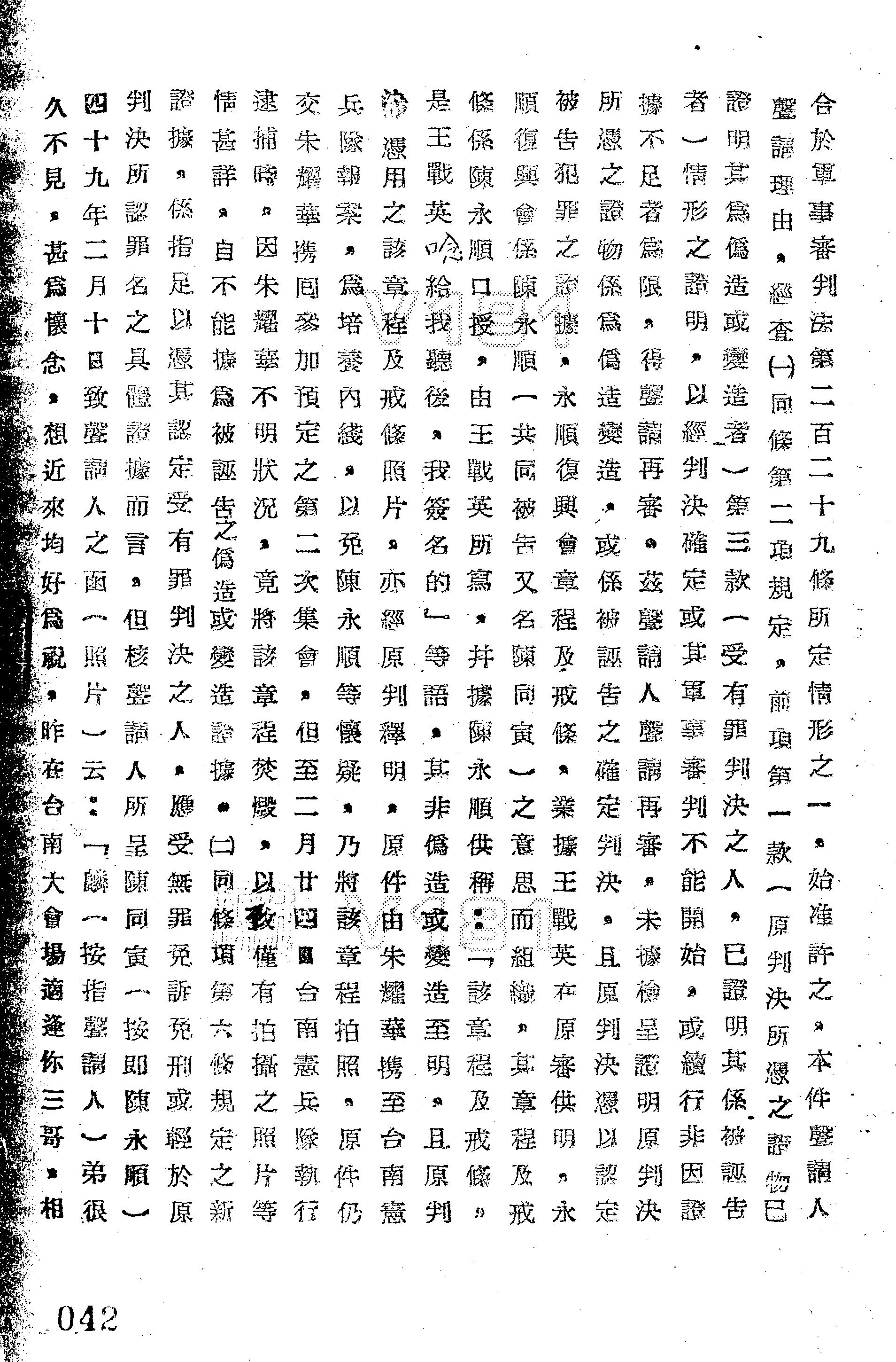
臺灣警備總司令部52年警審再字第0004號裁定書
臺灣警備總司令部52年警審再字第0004號裁定書
數位物件打包下載(僅限可下載使用物件)
史料資訊與簡介
裁判書正題名:
臺灣警備總司令部52年警審再字第0004號裁定書
產製單位:
臺灣警備總司令部
相關當事人:
王麟
產製日期:
521021
內容描述:
審理機關:臺灣警備總司令部
裁判書字號:(52)警審再字第0004號
裁判書主文/要旨:再審之聲請駁回。
法條:軍事審判法第236條;刑事訴訟法第427條第1項
相關人物
王麟
返回前一頁
分享
列印
(39)安潔字第2302號
(38)刑裁字第0106號
(59)警檢聲字第0052號/(59)勁雷字第0354號
:::
展開
主題探索
人物
事件
空間
文物
史料
口述紀錄
背景知識
歷史概述
威權體制
法律制度
專有名詞
組織團體
關於我們
網站簡介
最新消息
使用說明
常見問題
資料授權
意見信箱
Top