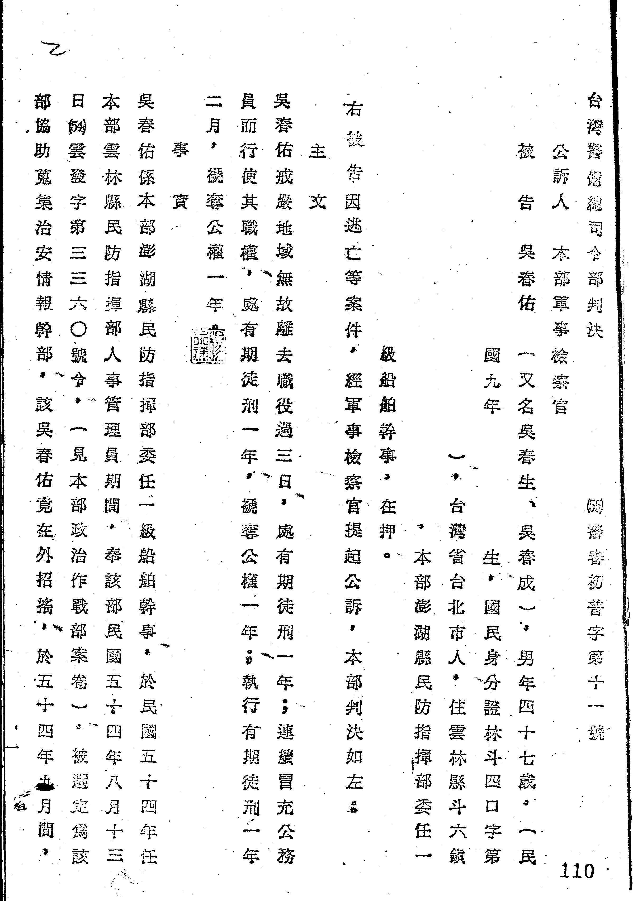
臺灣警備總司令部55年警審初普字第0011號判決書

下載

數位物件打包下載(僅限可下載使用物件)

  • 裁判書正題名: 臺灣警備總司令部55年警審初普字第0011號判決書
  • 產製單位: 臺灣警備總司令部
  • 相關當事人: 吳春佑
  • 產製日期: 550923
  • 內容描述:
    • 審理機關:臺灣警備總司令部
    • 裁判書字號:(55)警審初普字第0011號
    • 裁判書主文/要旨:吳春佑「戒嚴地域無故離去職役過3日」,處有期徒刑1年;「連續冒充公務員而行使其職權」,處有期徒刑1年,褫奪公權1年;執行有期徒刑1年2月,褫奪公權1年。
    • 法條:軍事審判法第173條前段;陸海空軍刑法第93條第2款、第15條;刑法第第158條第1項、第159條、第56條、第37條第2項、第51條第5款

相關人物