臺灣警備總司令部61年裁減字第0057號裁定書

下載

數位物件打包下載(僅限可下載使用物件)

  • 裁判書正題名: 臺灣警備總司令部61年裁減字第0057號裁定書
  • 產製單位: 臺灣警備總司令部
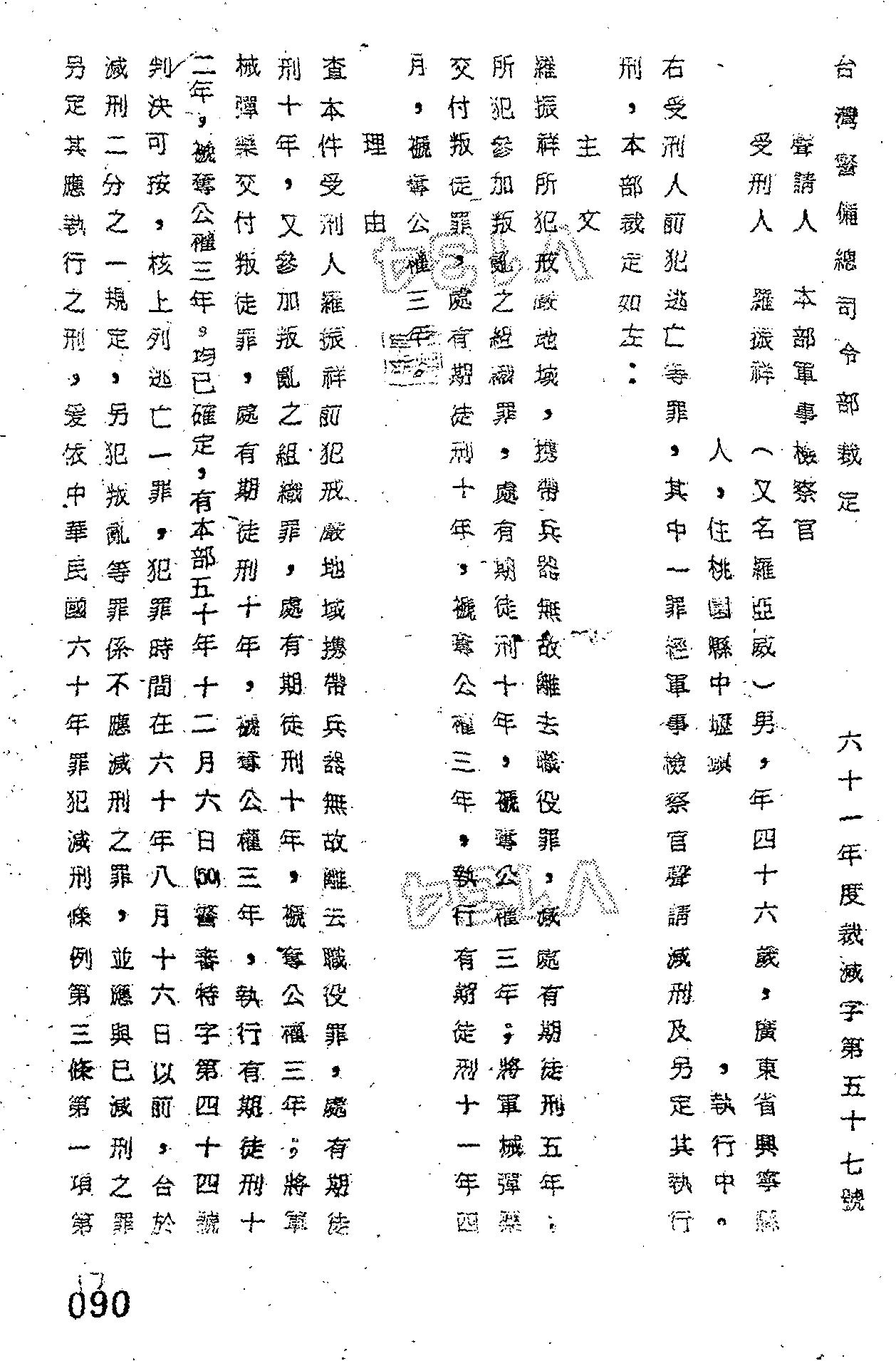
  • 相關當事人: 羅振祥
  • 產製日期: 601019
  • 內容描述:
    • 審理機關:臺灣警備總司令部
    • 裁判書字號:(61)裁減字第0057號
    • 裁判書主文/要旨:羅振祥所犯「戒嚴地域,攜帶兵器無故離去職役罪」,減處有期徒刑5年;所犯「參加叛亂之組織罪」,處有期徒刑10年,褫奪公權3年;「將軍械彈藥交付叛徒罪」,處有期徒刑10年,褫奪公權3年;執行有期徒刑11年4月,褫奪公權3年。
    • 法條:中華民國六十年罪犯減刑條例第3條第1項第3款、第7條、第9條;刑法第51條第5款

相關人物