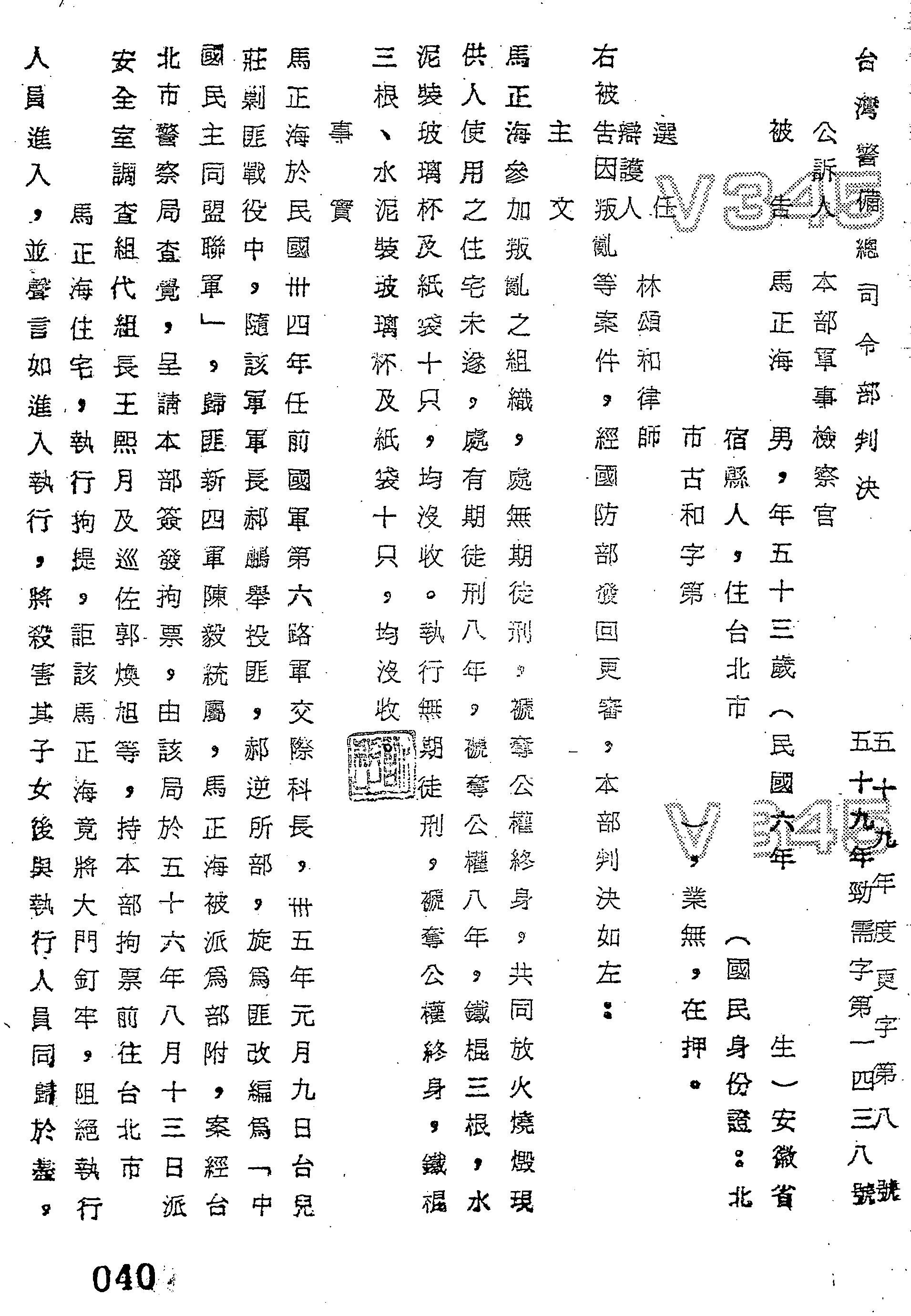
臺灣警備總司令部59年更字第0008號/59年勁需字第1438號判決書

下載

數位物件打包下載(僅限可下載使用物件)

  • 裁判書正題名: 臺灣警備總司令部59年更字第0008號/59年勁需字第1438號判決書
  • 產製單位: 臺灣警備總司令部
  • 相關當事人: 馬正海
  • 產製日期: 590307
  • 內容描述:
    • 審理機關:臺灣警備總司令部
    • 裁判書字號:(59)更字第0008號/(59)勁需字第1438號
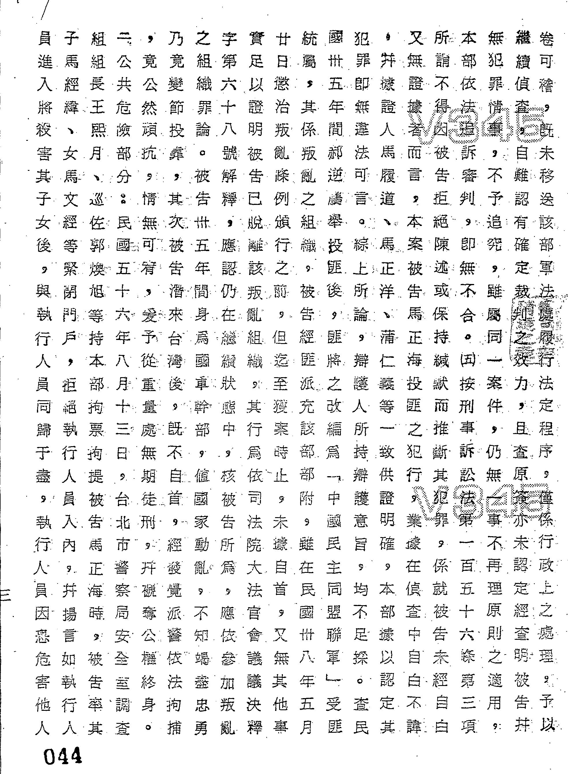
    • 裁判書主文/要旨:馬正海「參加叛亂之組織」,處無期徒刑,褫奪公權終身;「共同放火燒燬現供人使用之住宅未遂」,處有期徒刑8年,褫奪公權8年,鐵棍3根、水泥裝玻璃杯及紙袋10只,均沒收;執行無期徒刑,褫奪公權8年,鐵棍3根、水泥裝玻璃杯及紙袋10只,均沒收。
    • 法條:軍事審判法第173條前段;懲治叛亂條例第10條後段、第5條、第12條;刑法第28條、第135條第1項、第173條第1項、第173條第3項、第55條、第56條、第37條第1項、第37條第2項、第38條第1項第2款、第38條第3項、第51條第4款、第51條第8款

相關人物